fix sph/density/continuity command

Syntax

fix ID group-ID sph/density/continuity
  • ID, group-ID are documented in fix command
  • sph/density/continuity = style name of this fix command

Examples

fix density all sph/density/continuity

Description

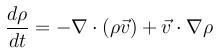
Based on the continuity equation in the form

_images/fix_sph_density_continuity_eq1.jpg

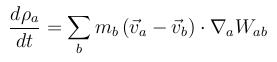
this fix calculates the density of each particle by the rule

_images/fix_sph_density_continuity_eq2.jpg

where the summation is over all particles b other than particle a, m is the mass, v is the velocity, W<sub>ab</sub> is the interpolating kernel (documented in pair_style sph/artVisc/tensCorr) and &nabla;<sub>a</sub> is the gradient of W<sub>ab</sub>.


Restart, fix_modify, output, run start/stop, minimize info

No information about this fix is written to binary restart files.

None of the fix_modify options are relevant to this fix.

No global scalar or vector or per_atom quantities are stored by this fix for access by various output commands.

No parameter of this fix can be used with the start/stop keywords of the run command.

This fix is not invoked during energy minimization.


Restrictions

There can be only one fix sph/density.